Archives du Cantal

Moyen Âge

Découverte du Moyen Âge pour les élèves de primaire

Matrice de sceau de la ville d'Aurillac
Matrice de sceau de la ville d'Aurillac
  1. Visite des Archives départementales
  2. Mise en activité des élèves sur les écritures du Moyen-Age et les blasons
  3. Démonstration d'un moulage de sceau

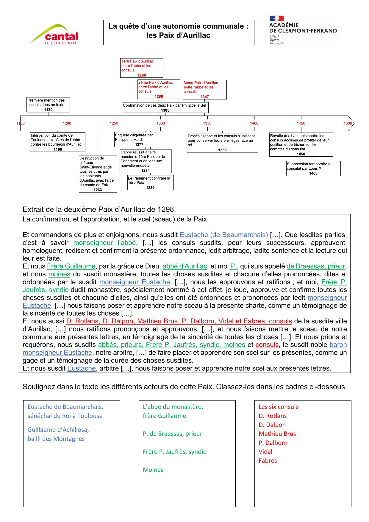
Les paix d'Aurillac

Pour la classe de cinquième, cette entrée par l’histoire locale trouve sa place dans le thème 2 du programme d’histoire – Société, Eglise et pouvoir politique dans l’Occident féodal (XIe-XVe siècles). S’intéresser à la commune d’Aurillac permet de découvrir les relations tumultueuses qu’elle entretient avec son seigneur, l’abbé d’Aurillac ; d’entrevoir la vie économique d’une ville médiévale à travers les articles de ces paix consacrés à l’artisanat et d’en percevoir les formes de son administration.

Ce n’est pas une commune au sens des très puissantes républiques communales des Flandres et du Nord de la France qui échappent parfois entièrement à l’autorité seigneuriale. En effet elle n’exerce ni la seigneurie sur les personnes et les biens du territoire de l’abbaye. Selon Roger Grand, archiviste du Cantal, « la commune est une collectivité jurée dont les membres sont liés par le serment de défendre leurs coutumes et libertés ». La genèse des communes remonte au développement d’une communauté de bourgeois habitués dans le cadre de liens professionnels à gérer, à organiser et à légiférer au sein de corporations.

Les trois paix d’Aurillac, 1280 ; 1298 et 1347 sont des compromis qui résultent de conflits d’abord armés puis juridiques entre les habitants et le seigneur abbé. Ainsi les habitants se voient reconnaître les privilèges suivants : droit pour la ville d’avoir un consulat, un sceau, un trésor commun, de former une personne civile ; droit pour les consuls d’assister aux enquêtes faites par la cour de l’abbé ; droit de pouvoir imposer des tailles sur les habitants. Par conséquent, la chronologie des conflits, des paix, des procès et des enquêtes révèlent l’importance des enjeux de pouvoir qui s’expriment au cours des 13ème 14ème et 15ème   siècles entre le seigneur abbé, les consuls et les représentants du roi ou du comte de Poitiers. L’abbé de Saint Géraud est jaloux de l’indépendance de son pouvoir féodal. Il n’est le vassal de personne grâce à la charte d’immunité concédée par Charles le simple en 899 ; Les consuls aspirent à une plus grande indépendance vis-à-vis du monastère ; les représentants du comte de Poitiers puis du roi n’ont de cessent d’empiéter sur les prérogatives des deux premiers, capables parfois de s’entendre pour faire échec aux manœuvres des officiers royaux.

Les habitants d’Aurillac élisent au 13ème siècle, six consuls dont la fonction est annuelle mais ils sont rééligibles. Ils assistent aux enquêtes menées par la cour de l’abbé ; ils reçoivent le serment des habitants ; ils veillent à la sécurité de la ville en dirigeant la garde et la réparation des murs et des fossés ; ils perçoivent et gèrent les revenus de la cité, imposent et lèvent des tailles. Cependant les habitants d’Aurillac demeurent les vassaux de l’abbé, ils prêtent serment, portent les armes pour l’abbé qui en tant que seigneur perçoit les taxes sur les ventes de maisons et de terres et conserve un droit de justice.

Chronologie sommaire de l’histoire de l’administration communale d’Aurillac au Moyen-âge.

-1180, Première mention des consuls dans un texte.

-1190, intervention du comte de Toulouse, Raymond V aux côtés de l’abbé contre les bourgeois d’Aurillac.

-1233, destruction par les habitants avec l’aide des troupes du comte de Foix, Roger-Bernard, du château Saint-Étienne et de tous les titres.

-1277, enquête diligentée par Philippe le Hardi.

- 1280, première paix entre l’abbé et les Consuls.

-1284, l’abbé réussit à faire annuler la première paix par le Parlement et obtient une nouvelle enquête.

-1289, le Parlement confirme la première paix.

- 1298, 23 août, la deuxième paix est un arbitrage, entre les deux parties, mené à leur demande par le sénéchal de Toulouse, Eustache de Beaumarchais et le bailli des montagnes, Guillaume d’Achillosa.

-1305, confirmation par Philippe le Bel de ces deux paix.

- 1347, une troisième paix sert à nouveau de compromis entre l’abbaye et le consulat.

-1366, procès contre les prétentions du roi qui unit l’abbé et les consuls pour défendre leurs privilèges respectifs.

-1463, révoltes des habitants contre leur consulat qu’ils accusent de malversations et de détournement de fonds. Le roi tente d’imposer un capitaine de la ville.

-1470, 1487 et 1490, Louis XI puis Charles VIII doivent confirmer les privilèges de la ville.


Bibliographie sommaire.

Notice sur le consulat et l'administration consulaire d'Aurillac / par CamilleRivain,... – Aurillac : impr. de L. Bonnet-Picut, 1874. Coté (2 BIB 5160).
Les Paix d'Aurillac [Texte imprimé] : étude et documents sur l'histoire des institutions municipales d'une ville à consulat, XIIe-XVe siècle / Roger Grand,.... – Paris : Librairie du Recueil Sirey, 1945. – (Société d'histoire du droit) coté (4 BIB 21)

La ville en haute Auvergne, Revue de la Haute Auvergne, tome 72 octobre-décembre 2010.

Partager la page